首页
Home
走进Q彩网
Nav
律师党建
Nav
新闻中心
Nav
通知公告
Nav
会员风采
Nav
律仲之窗
Nav
联系我们
Nav
会长会
监事会
秘书处
专题活动
年度优秀律师
律师事务所
公益律师
留言板
Q彩网
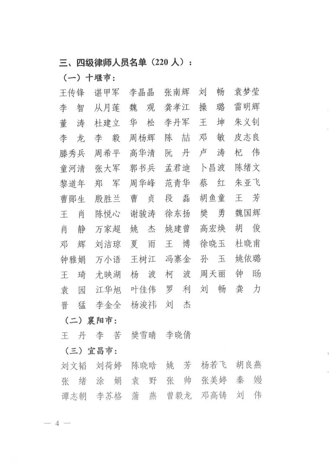
2022年度中初级职务任职通知
16
上一篇
Q彩网随团赴南京市考察法律服务产业
下一篇
我市90名律师获律师公证专业中初级职务任职资格
文章分类:
新闻中心
通知公告
分享到:
主办单位:Q彩网
地址:湖北省十堰市茅箭区市府路9号十堰市司法局2楼203、204室 邮箱:61686550@qq.com 电话:0719-8669907
登录
登录
注册>
其他账号登录:
◆
我的资料
◆
客服
◆
留言
◆
查看手机网站
◆
回到顶部
◆